TIANA – Edelstahlpumpe für Rohabwasser mit einem freien Durchgang von 50 mm
Konnte die Verfügbarkeit der Abholung nicht laden.
Die Tauchpumpe TIANA ist eine hervorragende Lösung für häusliche Abwasserpumpstationen, wo sie dank des großen Durchgangs unter dem Laufrad sehr widerstandsfähig gegen Verstopfungen ist und dank ihrer Konstruktion aus Edelstahl aggressiven Umgebungen standhält. TIANA wird auch den Erwartungen der Benutzer von Klärgruben für Privathaushalte gerecht, die die kompakte Struktur und das geringe Gewicht beim Bewegen und häufigen Absenken in Tanks zu schätzen wissen.
Technische Eigenschaften
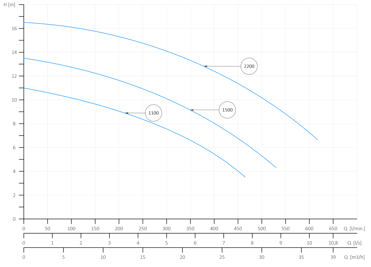
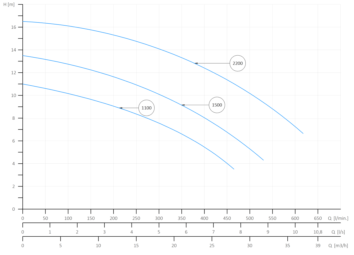
- Maximaler Hub Hmax = 16,5 m,
- Maximaler Wirkungsgrad Qmax = 10 l/s / 600 l/min / 36 m3/h,
- Wirbelrotor,
- Feststoffdurchgang:Ø50 mm,
- Horizontaler Anschluss: G2 (oder Halsband auf Anfrage),
- Maximale Wassertemperatur: 35°C,
- pH-Bereich: 6-10,
- Maximale Abwasserdichte 1,1 kg/dm3,
- Maximale Eintauchtiefe 5 m,
- Netzkabel 10 m.
- 36 Monate Garantie!
Technische Daten
|
Nein |
Pumpe/Modell* |
Schwimmer |
Verbindung |
Flug |
P2-Leistung |
1~230V |
C |
3~400V |
Kabel |
|
1 |
TIANA 1100M |
NEIN |
2” |
50 |
1,1 |
7,0 |
30 |
- |
3 x 1 mm2 – 10 m |
|
2 |
TIANA 1100 MP |
JA |
2” |
50 |
1,1 |
7,0 |
30 |
- |
3 x 1 mm2 – 10 m |
|
3 |
TIANA 1100 T |
NEIN |
2” |
50 |
1,1 |
- |
- |
2,6 |
4 x 1 mm2 – 10 m |
|
4 |
TIANA 1500M |
NEIN |
2” |
50 |
1,5 |
9,2 |
40 |
- |
3 x 1,5 mm2 – 10 m |
|
5 |
TIANA 1500 MP |
JA |
2” |
50 |
1,5 |
9,2 |
40 |
- |
3 x 1,5 mm2 – 10 m |
|
6 |
TIANA 1500 T |
NEIN |
2” |
50 |
1,5 |
- |
- |
3,5 |
4 x 1 mm2 – 10 m |
|
7 |
TIANA 2200M |
NEIN |
2” |
50 |
2,2 |
14 |
50 |
- |
3 x 1,5 mm2 – 10 m |
|
8 |
TIANA 2200 MP |
JA |
2” |
50 |
2,2 |
14 |
50 |
- |
3 x 1,5 mm2 – 10 m |
|
7 |
TIANA 2200 T |
NEIN |
2” |
50 |
2,2 |
- |
- |
4,9 |
4 x 1 mm2 – 10 m |
*M – Version 1~230 V ohne Schwimmer, MP – Version 1~230 V mit Schwimmer, T – Version 3~400 V ohne Schwimmer
Abmessungen
|
Abmessungen |
TIANA 1100 |
TIANA 1500 |
TIANA 2200 |
||||||
|
[mm] |
M |
Abgeordneter |
T |
M |
Abgeordneter |
T |
M |
Abgeordneter |
T |
|
A |
133 |
133 |
133 |
||||||
|
B |
228 |
228 |
228 |
||||||
|
ØD |
190 |
190 |
190 |
||||||
|
H |
487 |
505 |
487 |
537 |
505 |
||||
|
H1 |
96 |
96 |
96 |
||||||
|
G |
G2" |
G2" |
G2" |
||||||
|
Gewicht [kg] |
17,2 |
17,5 |
16,7 |
19,9 |
20,1 |
17,8 |
20,6 |
21,4 |
19,8 |
Bau
- Motor: asynchroner Käfigläufertyp,
- Schutzart: IP 68,
- Isolationsklasse: F,
- Eingebauter Wärmeschutz und Feuchtigkeitssensor,
- Motor- und Pumpengehäuse: Edelstahl 304,
- Laufrad: Edelstahl 304,
- Motorwelle: Edelstahl 402,
- Elektrokabel: H07RN8 mit freien Anschlüssen abgeschlossen,
- Schrauben der Klasse A2 / AISI 304,
- Dichtung: doppelte Gleitringdichtung.
TIANA-Pumpenversionen
- TIANA 1100 M - 1~230 V
- TIANA 1100 MP – 1~230 V mit Schwimmer
- TIANA 1100 T - 3~400 V
- TIANA 1500 M - 1~230 V
- TIANA 1500 MP – 1~230 V mit Schwimmer
- TIANA 1500 T - 3~400 V
- TIANA 2200 M - 1~230 V
- TIANA 2200 MP – 1~230 V mit Schwimmer
- TIANA 2200 T - 3~400 V